Network

Table of Contents

1 Physical Layer

Concerns how signals are used to transfer message bits over a link.

1.1 Latency

Message Latency is the delay to send a message over a link.

Transmission Delay

Time to put M-bit message "on the wire" \[T-delay = \frac{M(bits)}{Rate(bits/sec)} = \frac{M}{R}\ seconds\]

Propagation Delay

Time for bits to propagate across the wire \[P-delay = \frac{Length}{speed\ of\ signals} \approx \frac{Length}{\frac{2}{3}C} = D\ seconds\] C is the speed of light. In copper wire, the speed s generally ranges from .59c to .77c

summary

\[L = \frac{M}{R} + D\] Often one delay component dominates.

Bandwidth-Delay

BD is the maxmium amount of data in flight. Reperesents the data "in the network". \[BD = R\times D\] Small for LANs, big for "long fat" pipes(LFN "elephen").

  • An important example of a system where the bandwidth-delay product is large is that of geostationary satellite connections
  • TCP related option: TCP window scale option

1.2 Media

Media propagate signals that carry bits of information

Wires

  • Twisted Pair

    Widely used in LANs and telephone lines. Twist reduce radiated signal.

  • Coaxial Cable

Fiber

Long, thin, pure strands of glass. Properties: Enormous bandwidth

Wireless

Sender radiates signal over a region. Properties:

  • In many directions, to potentially many receivers
  • Receiver need to coordinate use(choose a sender)

1.3 Signal

Analog signals encode digital bits.

Frequency Representation

A signal over time can be represented by its frequency components.(Fourier analysis) \[g(t)=\frac{1}{2}c+\sum_{n=1}^\infty a_n sin(2\pi nft) + \sum b_n cos(2\pi nft)\]

1.4 Modulation

NRZ(Non-Return to Zero)

Let a high voltage(+V) represent a 1, and low voltage(-V)represent a 0.

  • 4B/5B

    Map every 4 bits into 5bits without long runs of zeros/ones.(called NRZI) eg: 0000->11110, 0001->01001, 1110->11100, 1111->11101 Not work for fiber/wireless. Need to send at higher frequencies.

Passband

Carriers is simply a signal oscillatiog at a desired frequency. To modulate these signal, we can change amplitude, frequency, or phase.

SignalModulation.png

Figure 1: Modulations

  • more signal levels

eg: voltage splits into four levels. reperents 2bits per symbol.

  • Clock Recovery

Clock recovery is designed for the case like 1000000000…0

1.5 Limit

Nyquist Limit

\[Maximum\ data\ rate = 2Hlog_{2}V\ bits/sec\]

  • V is the discrete levels the signal consists.
  • H is the bandwidth

Shannon Capacity

\[Maximum\ data\ rate = Hlog_{2}(1+S/N)\ bits/sec\]

  • S/N is the signal-to-noise ratio, S is the signal power, N is the noise power.
  • S/N in db unit \(=10log_{10}(S/N)\)

1.6 Other Hints

Metric Units

Use power of 10 for rates, 2 for storage. \[Mbps=1,000,000bps, 1KB = 2^{10}bytes\] "B" is for bytes, "b" is for bits

BandWidth

The range of frequencies transmitted without being strongly attenuated is called the bandwidth

2 Data Link Layer

2.1 Frame

FLAG Header Payload field Trailer FLAG

PPP(Point-to-Point Protocol)

FLAG(0x7E) Address(0xFF) Control(0x03) Protocol ID(2-byte) Payload Frame Check Sequence(3-byte) FLAG
  • MRU(maximum receive unit): 1500 bytes(Payload part)
  • ESC(escape character) is 0x7D

CSMA/CD(Broadcast Protocol)

3 Error Detection

3.1 Terms

Codeword

check bits of n-bit data is often referred to as an n-bit codeword.

Hamming distance

The number of bit positions in which two codewords differ is called the Hamming distance. eg: The hamming distance between 1011101 and 1001001 is 2

  • To detect d errors, we need d+1 distance.
  • To correct d errors, we need 2d+1 distance.

3.2 Parity Verification

  • Simple Verification

    Take D data bits, add 1 check bit.
    Check bit is the sum of the D bits module 2.(diff by even sum or odd)
    Distance: 2
    Detect 1 error
    

3.3 Checksums

Sending

Sum is defined in 1s complement.

  1. Arrange data in 16-bit words
  2. Add all
  3. Add with the carryover back to get 16bits
  4. Trans to 1s Complement
0001+f203+f4f5+f6f7=2ddf0
ddf0+2=ddf2
ddf2->220d

Receiving

  1. Arrange data in 16-bit words
  2. Add all + checksum
  3. Add any carryover back to get 16bits.
  4. Negate the result and check if it is 0.
0001+f203+f4f5+f6f7+220d=2fffd
fffd+2 = ffff
ffff->0

Conclusion

  • Distance: 2
  • Detect 1 error

3.4 CRC(Cyclic Redundancy Check)

Given n-bit data, generate k check bits such that the n+k bits are evenly divisible by a generator C.

  • C(x) use the polynomial code. eg: 10011010 is \(x^7+x^4+x^3+x^1\)

Both the high- and low-order bits of the generator must be 1

Sending

  1. Extend the n data bits with k zeros
  2. Divide by the generator value C
  3. Keep remainder, ignore quotient
  4. Adjust k check bits by remainder
Frame: 1101011011
Generator: 10011
K: 4 bits
11010110110000 devided by 10011
Reminder: 0010

Receiving

Divide by the generator value C and check for zero remainder

Conclusion

Protection depends on generator.

Standard CRC-32 is: 1111 0000 0100 1100 0001 0001 1101 1011 0111

  • Distance: 4
  • Detect 3 errors

3.5 In Practice

  • Parity is little used
  • Checksum used in Internet: IP, TCP, UDP
  • CRCs are widely used on links: Ethernet, 802.11, ADSL, Cable, etc.

4 Error Correction

4.1 Hamming Code

  • Uses \(n=2^k-k-1\)
  • n: data bits
  • k: check bits

eg: n=4, k=3

  1. Put check bits in positions p that are powers of 2, starting with position 1
  2. Check bit in position p is parity of positions with a p term in their values

HammingCodeModel.png

Encoding

data=0101, 3 check bits
__0_101
P1=0+1+1=0
P2=0+0+1=1
P4=1+0+1=0
After encoded: 0100101

Decoding

0100101
P1=P1+D3+D5+D7=0+0+1+1=0
P2=P2+D3+D6+D7=1+0+0+1=0
P4=P4+D5+D6+D7=0+1+0+1=0
Syndrome=000, no error

0100111
P1=0, P2=1, P4=1
Syndrome=110->6
The 6th bit is wrong.

4.2 Detection vs. Correction

Error correction:

  • Needed when errors are expected
  • When no time for retransmission

Error dection:

  • More efficient when errors are not expected
  • When errors are large when they do occur

5 Medium Access Control Sublayer

5.1 Retransmissions

Detect errors and retransmit frame(Automatic Repeat reQuest, ARQ)

  • ARQ often used when errors are common or must be corrected. E.g., WIFI, TCP
  • Rules

Receiver automatically confirms with an ACK.
Sender automatically resends after a timeout, until an ACK is received

Two non-trivial issues: Timeouts and Duplicates

Timeouts

Should be

  • Not too long (link goes idle)
  • Not too short (spurious resend)

Duplicates

Two ways to solve this problem:

  • Stop-and-Wait

    Add a single bit to distinguish the current frame from the next one(in the head of the frame)

    • Normal Case

      SaWNormalCase.png

    • With Ack Loss

      SaWWithACKLoss.png

    • With Early Timeout

      SaWWithEarlyTimeout.png

    • Limitation of Stop-and-Wait

      Stop-and-Wait allows only one frame to
      be outstanding from the sender at a time.
      Not good with high BD networks.

  • Sliding Window

    Generalization of Stop-and-Wait

    • Allow W frams to be outstanding
    • Can send W frams per RTT (= 2D + transmission time, Round Trip Time)
    • Various options for numbering frams/ACKs and handling loss

5.2 Multiplexing

Multiplexing is the network word for the sharing of a resource.

  • Time Division Multiplexing (TDM)

    Users take turns on a fixed schedule

  • Frequency Division Multiplexing (FDM)

    Put different users on different frequency bands

TDM/FDM Usage

  • Statically divide a resource

    Suited for continuous traffic, fixed
    number of users

  • Widely used in telecommunications

    E.g:
    TV and radio stations: FDM
    GSM (2G cellular): TDM within FDM

5.3 Multiple Access Control

Randomized Multiple Access

  • ALOHA

    Simple idea:
    If there was a collision(no ACK received) then wait
    a random time and resend.

    • Low load: Works well
    • High load: Need improvement

      Improvement: divide time into slots(transmit frames at the beginnings of slots)

  • CSMA(Carrier Sense Multiple Access)
    • carrier sensing (CSMA)

      A node listens to the channel before transmitting.

    • collision detection (CSMA/CD)

      A transmitting node listens to the channel while it is transmitting.
      If it detects that another node is transmitting an interfering frame,
      it stops transmitting and wait a random amount time before repeating.

      • Complications

        Time window in which a node may hear of a collision is 2D seconds.
        Solution: Impose a minimum frame size that last for 2D seconds.
        Then, node can't finish before collision.
        Note that: Ethernet minimum frame is 64bytes.

      • Persistence

        Multiple waiting nodes will queue up then collide.
        Espacially on high load network.

        Idea to solve: N queued senders, each send probability 1/N. How to estimate?

        In practice: BEB(Binary Exponential Backoff)
        Clever estimates the probability:
        1st collision, wait 0 to 1 frame times; 2nd, 0 to 3; 3rd, 0 to 7;
        BEB doubles interval for each successive collision.

      • Summary
        • CSMA Improve ALOHA by listening for activity before sending.
        • Can do easily with wire.
        • Still possible to hear nothing when another node is sending because of delay.
        • CSMA is a good defense against collisions only when BD is small
  • Classic Ethernet
    • 10 Mbps over shared coaxial cable
    • 1-persistent CSMA/CD with BEB
    • Frame Format

      • contains addresses of sender and receiver
      • CRC-32 for error detection
      • No ACKs or retransmission
      • Start of frame identified with physical layer preamble
      Preamble Dest addr Source addr Type Data(Packet from Network layer) Pad Check-sum
      8 6 6 2 0-1500 0-46 4

Wireless Multiple Access

  • Complications

    Wireless can't work with CSMA/CD

    • Nodes may have different areas of coverage

      May case two problems:

      • Hidden Terminals

        A and C are hidden terminals when sending to B

        HiddenTerminal.png

      • Exposed Terminals

        B and C are exposed terminals when sending to A and D

        ExposedTerminal.png

    • Nodes can't hear while sending

      Detecting collisions wasted much time with wireless.

  • MACA Protocol

    Uses a short handshake instead of CSMA

    1. Sender transmits a RTS(Request-To-Send) with frame length
    2. Receiver replies with a CTS(Clear-To-Send) with frame length
    3. Sender transmits the frame while hearing the CTS stay silent
    • Solution For Hidden Terminals

      MACAHiddenTerminal.png

    • Solution For Exposed Terminals

      MACAExposedTerminal.png

    • Collisions on the RTS/CTS are still possible, but less likely
  • 802.11
    • Physical Layer
      • Uses 20/40Mhz, b/g/n on 2.4GHz, a/n on 5GHz
    • Link Layer

      • Multiple access uses CSMA/CA; RTS/CTS optional

        CSMACASeq.png

        Backoff is a small random gap.

      • Frames are ACKed and retransmitted with ARQ
      • Three addresses(due to AP)
      • Errors are detected with a 32-bit CRC
      Frame control Duration Dest addr Source addr AP addr Data Check-sum
      2 2 6 6 6 0-2312 4

Turn-Taking Multiple Access

Issue about CSMA under high load:

  • High overhead(expect collisions)
  • Access time varies(random)

Turn-Taking protocol defines an order in which nodes get a chance to send.
The way to define ordering:
E.g Token Ring, node addresses

  • Token Ring

    Arrange nodes in a ring. Token rotates permission to send to each node in turn.

    TokenRing.png

  • Advantages:
    1. Fixed overhead with no collisions
    2. Regular chance to send with no unlucky nodes
  • DisAdvantages(Complexity):
    1. More things could be wrong. E.g: token lost
    2. High overhead at low load

5.4 Switching

Hub/repeater for physical layer.
Router for network layer.
Switch for link layer.

Inside Switch Box:

InsideSwitch.png

Uses buffers for multiple inputs to send to one output,
may overload, and lead to frame loss.

SwitchBuffer.png

Switch Forwarding

Uses a learning table, sends to the port in the table or broadcasts to all ports.

Switch Spanning Tree

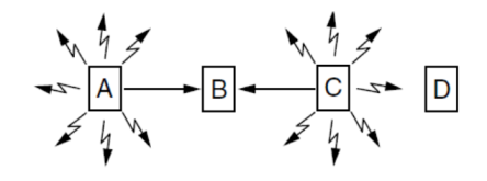
  • How can we connect switches in any topology?
  • Problem - forwarding loops

    RedundantLinks.png

    Redundancy in case of failures. But loops occurs:

    1. \(A\to C\to B, D-left, D-right\)
    2. \(D-left\to C-right, E, F\)
    3. \(D-right\to C-left, E, F\)
    4. \(C-right\to D-left, A, B\)
    5. \(C-left\to D-right, A, B\)
  • Solution

    Switches collectively find a spanning tree for the topology

    STSolution1.png

    • Outline
      1. Elect a root node of the tree(switch with the lowest addr)
      2. Grow tree as shortest distances from the root
      3. Turn off ports for forwarding if they aren't on the spanning tree
    • Algorithm

      1. Each switch initially believes it is the root of the tree
      2. Each switch sends periodic updates to neighbors
      3. Switches favors ports with shorter distances to lowest root

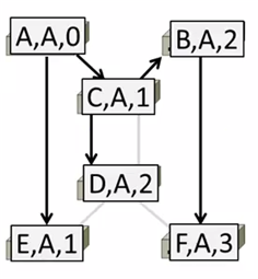
      Update Information like:
      Hi, I'm C, the root is A, it's 2 hops away. (C, A, 2)

    • Example:
      • At the beginning

        STExample1.png

      • 1st round, sending:

        A sends (A,A,0) to say it is root. Same as B, C, D, E and F.

      • 1st round, receiving:

        A still thinks (A,A,0)
        B still thinks (B,B,0)
        C updates to (C,A,1)
        D updates to (D,C,1)
        E updates to (E,A,1)
        F updates to (F,B,1)

        STExample2.png

      • 2nd round, receiving:

        A still thinks (A,A,0)
        B updates to (B,A,2) via C
        C remains (C,A,1)
        D updates to (D,A,2) via C
        E remains (E,A,1)
        F remains (F,B,1)

        STExample3.png

      • 3rd round, receiving:

        A remains (A,A,0)
        B remains (B,A,2)
        C remains (C,A,1)
        D remains (D,A,2)
        E remains (E,A,1)
        F updates to (F,A,3) via B

        STExample4.png

      • 4th round

        Steady-state has be reached
        Turn off forwarding that is not on spanning tree

      • Continus to run

        Adapts by timeing out information
        E.g: If A fails, other nodes forget it, and B will become the new root

6 Network Layer

6.1 Service Models

Store-and-Forward

Both of two models use Store-and-Forward packet switching.
Switching element has internal buffering for contention.

  • Buffer is typically a FIFO queue
  • If full, packets will be discarded

Datagrams(Connectionless)

Like postal letters

  • Packets contain a dest. address
  • Each router has a forwarding table(often changes) keyed by dest addr. Example table:

    Table 1: Router A's Table
    Dest. Line
    A  
    B B
    C C
    D B
    E C
    F C

Virtual Circuits(Connection-Oriented)

Like a telephone call. Three steps:

  1. Connection establishment, circuit is set up (Path is chosen, circuit info stored in routers)
  2. Data transfer, circuit is used
  3. Connection teardown, circuit is deleted
  • Virtual means there's no bandwidth need be reserved
  • Packets only contain a short label to identify the circuit
  • Each router has a forwarding table keyed by circuit

    VirtualCircuitsTable.png

  • MPLS(Multi-Protocol Label Switching)

    A virtual-circuit like technology widely used by ISPs.

    • ISP set up circuits inside their backbone ahead of time
    • ISP add MPLS label to IP packet at ingress, undoes at egress

      MPLSStructure.png

Datagrams vs Virtual Circuits

Issue Datagrams Vitual Circuits
Setup Not needed Required
Router state Per destination Per connection
Addresses Packet carries full addr Packet carries short label
Routing Per packet Per circuit
Failures Easier to mask Hard to mask
Quality of service Diffcult to add Easier to add

6.2 IP(Internet Protocol)

Internetworking

Connecting different networks together called internetworking. Differs:

  • Service model(datagrams, VCs)
  • Addressing
  • QOS(priorities, no priorities)
  • Packet sizes
  • Security(whether encrypted)

IP is the "narrow waist" of the internet.

IPNarrowWaist.png

The idea is make IP as a lowest common denominator.
Ask little from lower-layer, gives little to a higher-layer.

IPv4

IPv4 carries 32-bit addresses on each packet(often 1.5KB)

Uses datagrams, you can see Source and Destination addr inside.

The fields to handle the difference of networks:

  • Identification, Fragment offset, Fragment control bits for different packet size.
  • Differentiated Services for QOS
  • Time to live(TTL) for ICMP

IPProtocol.png

  • IP Prefix

    Notation: IP address/prefix-length E.g:128.13.0.0/16

  • IP Allocation

    IPAllocation.png

IP Forwarding

Nodes uses a table that lists the next hop for IP prefixes. Example:

HopList.png

  • Longest Matching Prefix

    Prefixes can overlap!
    In example above,
    D: 192.24.0~63.0~255
    B: 192.24.12~15.0~255

    IPOverlap.png

The rule is to more specific area. This rule called Longest Matching Prefix.

  • Flexibility

    provide default behavior, with less specific prefixes.
    E.g. send traffic going outside an organization to a border router.

    special case behavior, with more specific prefixes.
    E.g. For performance, economics, security

  • Host Forwarding Table

    Prefix Next Hop
    My network prefix Send direct to that IP
    0.0.0.0/0 Send to my router
    • 0.0.0.0/0 is a default route that catches all IP addresses.

Packet Size Issue

Different networks have different maximum packet sizes.
Also known MTU(Maximum Transmission Unit)
Two solutions:

  • Fragmentation

    Split up large packets in the network-—classic method, dated.

    PacketFragmentation.png

    Related fields:
    MF=More Fragment
    DF=Don't Fragment
    identification field links pieces together.

    FragmentationFields.png

    • Procedure
      1. Copy IP header to pieces
      2. Adjust length on pieces
      3. Set offset to indicate position
      4. Set MF on all pieces except last

    FragmentationExample.png

    • Disadvantages
      • More work for routers, hosts
      • Tends to magnify loss rate
      • Security vulnerabilities
  • Discovery

    Find the largest packet that fits on the network path.

    • Solution Host tests path with large packet.

      MTUDiscovery.png

      Implemented with ICMP.
      Set DF(Don't Fragment) bit in IP header to get feedback messages.

ICMP(Internet Control Message Protocol)

On IP Header: IP Protocol = 1
Provides error report and testing

When router encounters an error while forwarding:

  1. Sends an ICMP error report back to the IP source address
  2. Discards the problematic packet(host needs to rectify)

RouterReturnICMPError.png

  • ICMP Message

    ICMP message has a type, code, and checksum
    Often carry the start of the offending packet as payload
    Each message is carried in an IP packet

    ICMPMessage.png

    Some examples:

    Name Type/Code Usage
    Dest. Unreachable(Net or Host) 3/ 0or1 Lack of connectivity
    Dest. Unreachable(Fragment) 3/4 Path MTU Discovery
    Time Exceeded(Transit) 11/0 Traceroute
    Echo Request or Reply 8or0 /0 Ping

    The last two are used for testing.

IPv6

  • 128 bits address

    8 groups of 4 hex digits. Omit leading zeros and group of zeros.
    Ex: 2001:0db8:0000:0000:0000:ff00:0042:8329
    -> 2001:db8:ff:42:8329

  • Message Format

    IPv6Format.png

    The changes:

    • Streamlined header processing
    • Flow lable to group of packets
    • Better fit with advanced features(mobility, multicasting, security)
  • Deploy Issue

    The format incompatible with IPv4
    Solutions:

    • Dual stack (speak IPv4 and IPv6)
    • Translators (convert packets)
    • Tunnels (carry IPv6 on IPv4)

      IPv6Tunneling.png

6.3 ARP(Address Resolution Protocol)

Node uses ARP to map a local IP address to its Link layer address

ARPPurpose.png

  • No servers, just asks node with target IP.
  • Uses broadcast to reach all nodes.

ARPSeq.png

6.4 Traceroute

Uses TTL(Time to live) field in IP header.

TimeToLiveField.png

TTL decremented every router hop, with ICMP error if it hits zero.
It also protects against forwarding loops.

Traceroute sends probe packets increasing TTL starting from 1.

TraceRouterFlow.png

6.5 NAT(Network Address Translation)

NAT is one type of the middle box.
Middle box provides new functionality(NAT, firewall, Intrusion Detection).
NAT holds a table, map internal IP:Port with External IP:Port.
May look like the following table:

Internal External
192.168.1.12:5523 44.25.80.3:1500
192.168.1.13:1234 44.25.80.3:1501
192.168.2.20:1234 44.25.80.3:1502

Internal→ External: looks up the map, changes the src IP:Port.
External→ Internal: changes the dest IP:Port.

  • Advantage
    • Relieves much public IP address pressure
    • Easy to deploy
    • Useful functionality(helps with privacy, firewall, etc.)
  • Disadvantage
    • Connectivity has been broken

      Can only send packets after outgoing connection is set up.
      Difficult to run servers or peer-to-peer apps(Skype) at home.

    • Doesn't work so well with UDP
    • Unwisely expose their IP addresses(FTP)?

7 Routing

7.1 Distance Vector Routing

DVExample.png

  • Initial Status

    To A B C D
    A 0 \(\infty\) \(\infty\) \(\infty\)
    B \(\infty\) 0 \(\infty\) \(\infty\)
    C \(\infty\) \(\infty\) 0 \(\infty\)
    D \(\infty\) \(\infty\) \(\infty\) 0
  • 1st Exchange

    AC: A Cost
    AN: A NextTo

    To AC AN BC BN CC CN DC DN
    A 0 -- 3 A \(\infty\) -- 7 A
    B 3 B 0 -- 6 B 3 B
    C \(\infty\) -- 6 C 0 -- 2 C
    D 7 D 3 D 2 D 0 --
  • 2nd Exchange

    To AC AN BC BN CC CN DC DN
    A 0 -- 3 A 9 B 6 B
    B 3 B 0 -- 5 D 3 B
    C 9 D 5 D 0 -- 2 C
    D 6 B 3 D 2 D 0 --
  • final

    To AC AN BC BN CC CN DC DN
    A 0 -- 3 A 8 D 6 B
    B 3 B 0 -- 5 D 3 B
    C 8 B 5 D 0 -- 2 C
    D 6 B 3 D 2 D 0 --

Dynamics

  • Adding routes: one hop per exchange
  • Removing routes: no more exchanges
  • Partitions are a problem: "Count to infinity" scenario

    CountToInfty.png

    Some way to address: Split horizon, poison reverse.
    (Don't send route back to where you learned it from)

    There's no very effective way to solve this problem.
    And now link state favored in practice.

RIP(Routing Information Protocal)

  • DV protocal with hop count as metric
    • Infinity is 16 hops; limits network size.
    • Include split horizon, poison reverse.
  • Routers send vectors every 30 secs
    • Runs on top of UDP.
    • Timeout in 180 secs to detect failures.

7.2 Flooding

Rule Used at Each Node

  • Sends an incoming message on to all other neighbors
  • Remember the message so that it is only flood once

    Using source and sequence number

8 Transport Layer

8.1 TCP vs UDP

TCP(Streams) UDP(Datagrams)
Connections Datagrams
Reliably, and in order reordered, duplicated, msg may be lost
Arbitrary length content Limited message size
Flow control Can send regardless of receiver state
Congestion control Can send regardless of network state

8.2 Well-known Ports

Port Protocol Use
20, 21 FTP File transfer
22 SSH Remote login
25 SMTP Email
80 HTTP World Wide Web
110 POP-3 Remote email access
143 IMAP Remote email access
443 HTTPS Secure Web (HTTP over SSL/TLS)
543 RTSP Media player control
631 IPP Printer sharing

8.3 UDP socket

header

  • Datagram length up to 64K
  • Checksum(16 bits) for reliability
Source port Destination
UDP length UDP checksum

sequence

DatagramSockets.png

8.4 TCP socket

Three-way handshake

ThreeWayHandshake.png

  • state machine

    ThreeWayHandshake_SM.png

Connection Release

TCPConnectionRelease.png

  • state machine

    TCPConnectionRelease_SM.png

9 Application Layer

9.1 DHCP(Dynamic Host Configuration Protocol)

Provide the following information to Node:

  • The node IP
  • Network prefix
  • Address of local router
  • DNS server, time server, etc.

DHCP uses UDP ports 67,68

DHCP
UDP
IP
Ethernet

How does node find DHCP server?

Node sends broadcast messages.
broadcast address is all 1s.
255.255.255.255 for IP, ff:ff:ff:ff:ff:ff for Ethernet

DHCPSeq.png

10 Devices

osi.png

10.1 Hub

  • on physical layer. broadcast forwarding

10.2 Switch

  • on link layer. use MAC address.

10.3 Router

  • on network layer. use IP.